Calcolo della tensione di rumore all'uscita di una rete RC
Consideriamo un cicuito RC con
,
, alimentato con un generatore
di tensione con resistenza serie
alla temperatura
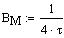
. La costante di tempo
della rete č
cosė la banda equivalente di rumore č:
e, inoltre
, cosė la tensione di rumore all'uscita della rete č