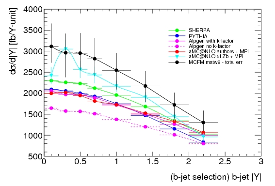
Theory Comparisons - Z+(at least 1)b-jet selection (June 13, 2013)

b-jet transverse momentum

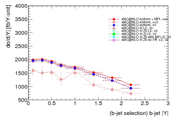
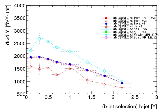
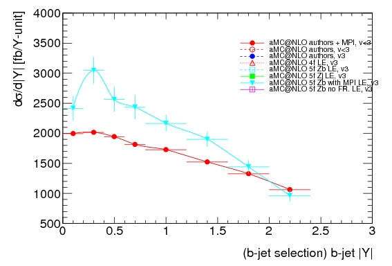
b-jet rapidity

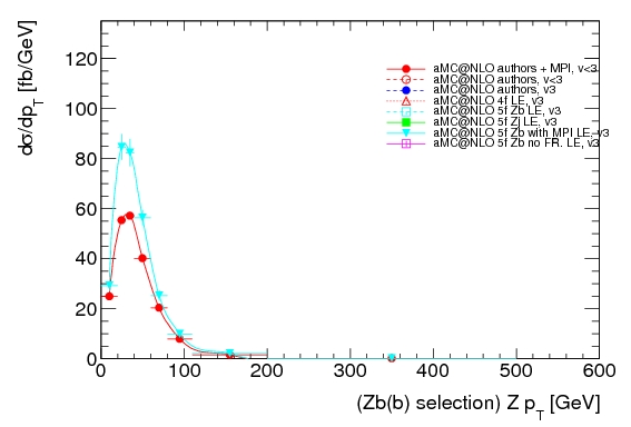
Z transverse momentum

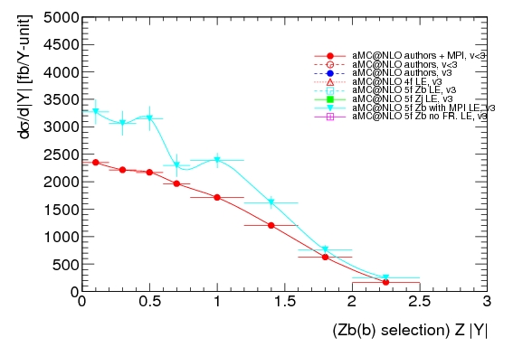
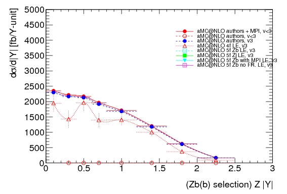
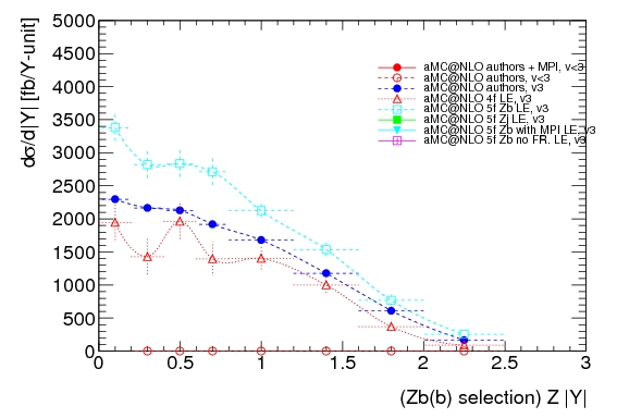
Z absolute rapidity

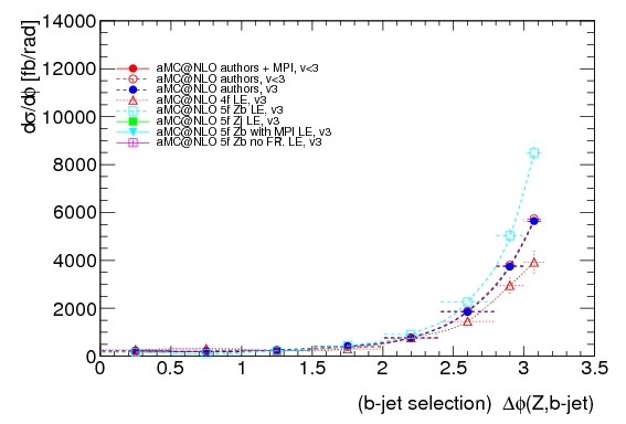
Z,b-jet Delta_Phi

Z,b-jet Delta_R

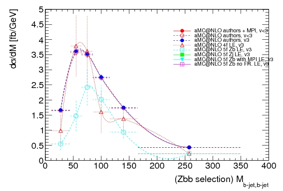
Theory Comparisons - Z+(at least 2)b-jets selection (June 13, 2013)

b-jet,b-jet Delta_R

b-jet,b-jet Invariant Mass

Z transverse momentum