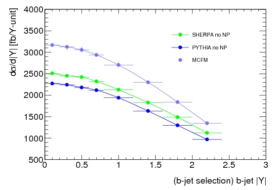
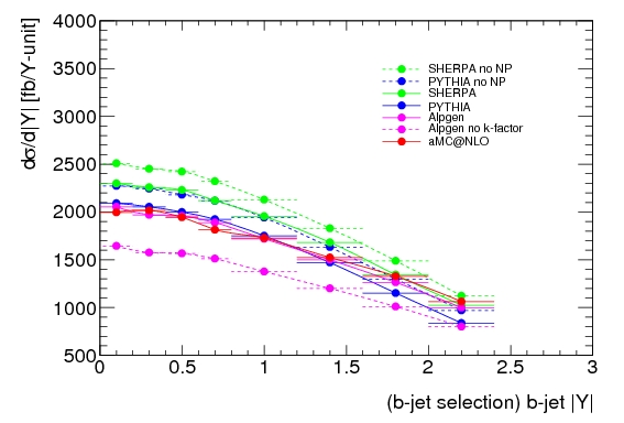
Theory Comparisons - Z+(at least 1)b-jet selection (June 13, 2013)

b-jet transverse momentum

b-jet rapidity

Z transverse momentum

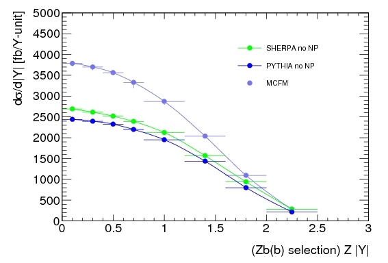
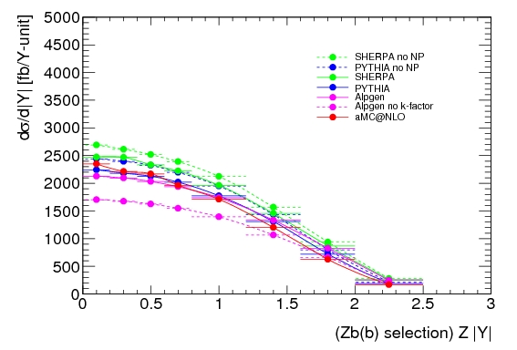
Z absolute rapidity

Z,b-jet Delta_Phi

Z,b-jet Delta_R

Theory Comparisons - Z+(at least 2)b-jets selection (June 13, 2013)

b-jet,b-jet Delta_R

b-jet,b-jet Invariant Mass

Z transverse momentum